Statistical Consultants Ltd



HomeServicesBlogLinksAboutContact


Elementary Indices



Economics, Economic / Financial Data



Price indices such as the consumer price index (CPI) are usually calculated in two or more stages.  The later stages of the calculation involve using weighted methods described in the previous feature: Different ways of measuring the Consumer Price Index (CPI).  At the earliest stages of the calculation, elementary indices are used.
 
For a two stage calculation, the price figures used in the formulae described in the previous feature, are also price indices, and are usually calculated using the formulae described in this feature.  Elementary indices only apply to a single type of good.
 
An overall CPI might rely on several different types of elementary indices e.g. some good prices are estimated using the Dutot index, while Jevons index is applied to others. 

For each of the following indices:
n is the sample size of the good being surveyed
pt are the prices of the good at the current period
p0 are the prices of the good at the base period


Dutot Index

Dutot index formula


Jevons Index

Jevons index is the geometric mean of price ratios.

Jevons index formula


Carli Index

Carli index formula


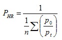
Harmonic Mean of Price Relatives

harmonic mean of price relatives


Carruthers / Sellwood / Ward / Dalén Index

This is the geometric mean of the Carli and harmonic mean (of price relatives) indices.

Carruthers, Sellwood, Ward, Dalen Index formula


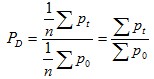
Ratio of Harmonic Means

Ratio of harmonic means index formula


See also:

Axiomatic Analysis of Elementary Indices
Different ways of measuring the Consumer Price Index (CPI)
Index Numbers





HomeServicesBlogLinksAboutContact

Copyright © Statistical Consultants Ltd  2011