Statistical Consultants Ltd



HomeServicesBlogLinksAboutContact


Statistical Graphics Services



Statistical Consultants Ltd can provide sophisticated customised graphs, diagrams and mathematical formulae for reports, projects, presentations, publications and websites.


Graphs

 Normal Distribution

Tukey's Bisquare Psi Function Graph



Animated Graphs

Animated graph

Benford's Law animated gif



Diagrams

Two-Stage Sample
Customer Orders Database




Mathematical Formulae

rank vector
Addition and multiplication of matrices
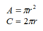
Formulae for area and circumference of a circle
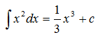
Integration of a quadratic term
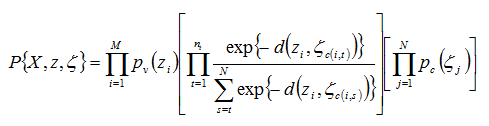
Advanced cluster analysis
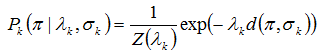
formula




 



HomeServicesBlogLinksAboutContact

Copyright © Statistical Consultants Ltd  2010-