Statistical Consultants Ltd



HomeServicesBlogLinksAboutContact


M-estimators



Statistical Analysis Techniques, Robust Estimators, Alternatives to OLS



The three main classes of robust estimators are M, L and R.  Robust estimators are resistant to outliers and when used in regression modelling, are robust to departures from the normality assumption.
 
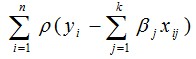
M-estimators are a maximum likelihood type estimator.  M estimation involves minimizing the following:

sum rho


Where ρ is some function with the following properties:
  • ρ(r) ≥ 0 for all r and has a minimum at 0
  • ρ(r) = ρ(-r) for all r
  • ρ(r) increases as r increases from 0, but doesn’t get too large as r increases

For LAD:  ρ(r) = |r|
For OLS:  ρ(r) = r2
 
Note that OLS doesn’t satisfy the third property, therefore it doesn’t count as a robust M-estimator.
 

In the case of a linear model, the function to minimise will be:

sum rho regression

Instead of minimising the function directly, it may be simpler to use the function’s first order conditions set to zero: 

First Order Condition set to zero

where:
First Order Condition

If the ρ function can be differentiated, the M-estimator is said to be a ψ-type. Otherwise, the M-estimator is said to be a ρ-type.

Lp subclass

Lp is a subclass of M estimators.  An Lp beta coefficient would be one that minimises the following:

Lp rho function

Where 1≤ p ≤2. 
If p=1, it is the equivalent of LAD and if p=2, it is the equivalent of OLS.

Lp comparison graph

The lower p is, the more robust the Lp will be to outliers.  The lower p is, the greater the number of iterations would be needed for the sum of |r|p to converge at the minimum.


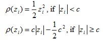
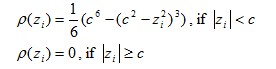
Tukey’s bisquare M-estimator

Tukey proposed an M-estimator that has the following ρ(zi) function:

Tukey's bisquare rho function

Where c is a constant and z equals scaled r, where s is the estimated scale parameter.

Tukey’s bisquare psi function leaves out any extreme outliers by giving them a zero weighting.

Tukey's bisquare rho

Tukey's bisquare rho

Tukey's bisquare psi

Tukey's bisquare psi

Tukey's bisquare psi


Huber's M-estimator

Huber proposed an M-estimator that has the following ρ(zi) function:

Huber's rho

Where c is a constant and z equals scaled r, where s is the estimated scale parameter.

It essentially applies an LAD function to outliers and an OLS function to the other observations.


Huber's rho

Huber's rho



Huber's psi

Huber's psi

Huber's psi


Andrews's M-estimator

Andrews (1974) proposed the following ρ(zi) function:

Andrew's rho

Where  z equals scaled r, where s is the estimated scale parameter.

Andrew's psi

Andrew's rho and psi functions


See also:

Regression
LAD
L-estimators
R-estimators





HomeServicesBlogLinksAboutContact

Copyright © Statistical Consultants Ltd  2010